>
恭喜内蒙古大学常虹老师在国际期刊上发表文章
恭喜恭喜 恭喜内蒙古大学常虹老师在Advanced Electronic Materials期刊和Journal of Magnetism and Magnetic Materials上发表文章,影响因子分别为6.32和3。 常老师是在14年开始与咱们中科百测合作的,在常老师的科研工作过程中,为常老师提供了VSM、透射XPS以及扫描电镜等项目的检测服务,这次文章中用到的扫描透射,VSM以及透射等数据就是由咱们测试的,常老师对我们技术水平和服务质量比较满意,并在所发表两篇文章中的致谢部分提到了我们公司,在此,我们也感谢常老师对我们公司的信任和对我们工作的支持,我们也热切希望能和老师们发展长期合作的关系。
恭喜恭喜
恭喜内蒙古大学常虹老师在Advanced Electronic Materials期刊和Journal of Magnetism and Magnetic Materials上发表文章,影响因子分别为6.32和3。 常老师是在14年开始与咱们中科百测合作的,在常老师的科研工作过程中,为常老师提供了VSM、透射XPS以及扫描电镜等项目的检测服务,这次文章中用到的扫描透射,VSM以及透射等数据就是由咱们测试的,常老师对我们技术水平和服务质量比较满意,并在所发表两篇文章中的致谢部分提到了我们公司,在此,我们也感谢常老师对我们公司的信任和对我们工作的支持,我们也热切希望能和老师们发展长期合作的关系。
文章展示 Advanced Electronic Materials
文章剖析
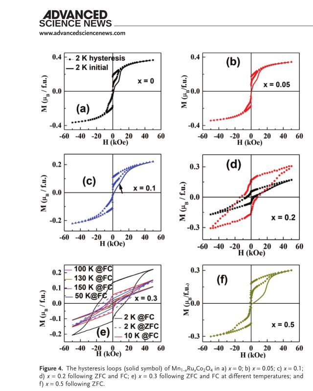
Mn1-xRuxCo2O4的高矫顽力和超大交换偏置效应,会极大地影响和决定物质的物理性能。很容易在薄膜样品或者纳米样品中观察到不均匀的离子分布,但是通常很难在体材料中观察到。在Mn1-xRuxCo2O4化合物中,高分辨透射电镜显示在 x = 0.3和 x = 0.5的球磨样品样品中,观察到了离子的不均匀分布。离子的不均匀分布为磁相的相分离和交换耦合提供了便利条件。在球磨的样品中,x = 0.3显示出了反铁磁特性,同时伴随有无序排列的磁矩。它的矫顽场在14.8 kOe。在球磨的x = 0.1样品中,矫顽力非常高,达到16.5 kOe。在x = 0.2, 0.4, and 0.5中,观察到了矫顽力增强和交换偏置现象。在固态反应的样品中,高矫顽力出现在x = 0.3样品,同时x ≤ 0.1 和x = 0.5的矫顽力非常低。在Mn1-xRuxCo2O4中,矫顽力增强和交换偏置场,都远远高于多层膜材料和纳米材料。这个新发现,为进一步制备高性能磁体提供了一种可能方案。常虹老师为通讯作者,相关工作发表在Advanced Electronic Materials期刊上,原文链接:https://onlinelibrary.wiley.com/doi/abs/10.1002/aelm.201900572
文章展示 Journal of Magnetism and Magnetic Materials
在六角铁氧体SrFe12−xInxO19中,掺杂非磁性的In3+离子导致饱和磁化强度增强。在 x = 0.5,饱和磁化强度最大,是73.87 emu/g,在x > 0.5,饱和磁化强度减弱。在x ≤ 0.2,矫顽力保持常数,但是在x > 0.2后,矫顽力降低。居里温度从740 K降低到x = 2.0的592 K。对其XPS、FT-IR 和UV–vis光谱进行了分析,得到了此性能和结构之间的关系。In3+离子占位进行了研究。In3+离子和氧空穴损害矫顽力,而Fe2+有利于提高磁晶各向异性。x = 0的带隙宽度是1.75 eV,x = 1.0的带隙宽度是1.87 eV。氧空穴对其带隙宽度有影响。常虹老师为通讯作者,相关工作发表在Journal of Magnetism and Magnetic Materials上,原文链接:https://doi.org/10.1016/j.jmmm.2019.165731
中科百测简介
中科百测于2013年成立,以深入研究科研表征技术,集自身力量和平台力量加速资源均衡,提高第三方检测服务水平,创立高标准高质量高效第三方检测机构为己任,一直深耕于仪器检测领域。目前总部坐落于鳞次栉比的高等学府周围,创立了北京,深圳,开封三个检测中心,建立自己的透射电镜实验室,扫描电镜实验室,物理吸附实验室,电镜样品制样室等分析实验室。与全国各地检测中心开展长期稳定合作,搭建最全最先进最快的材料检测平台,检测领域涉及到生物组织,金属合金材料,陶瓷半导体材料,高分子材料,纳米材料等多个领域。公司一直秉承“诚信、认真、负责、高效”的理念,践行服务至上的服务理念,注重发展专业技术,坚守初心,奋力发展。中科百测----您身边的检测专家,无论您在哪里,只要您需要,我们一直在这里。
公司总部附近的高校如矿大、地大、北科、北航、北理(中关村校区)、北交、北大医学部等高校还可以提供上门取样的服务,您只需要一个电话登记下取样信息就可以上门取样。
另外,考虑到高校老师们报账不便,咱们对于高校老师还可以先测试后付款,也可以开设预存款账户进行预存,现在预存还有优惠活动哦!
您还等什么呢,快快拿起电话,拨打400-9955-399预约测试吧!